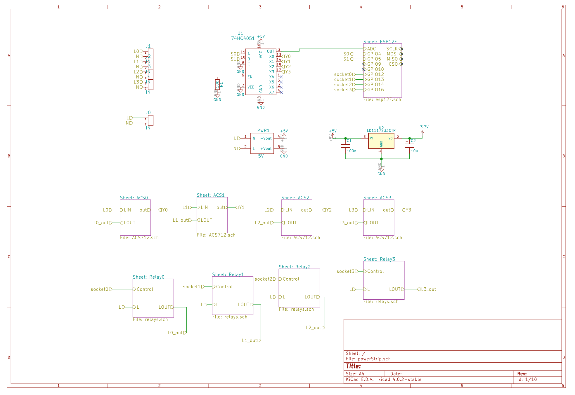
This is an ESP8266-12F based power strip. It provides 4 different power sockets, each one independently controllable. Moreover, it monitors the current consumption of each different socket by exploiting a 4051 multiplexer. This is a work in progress and suggestions are more than welcome. I plan to build my board in two weeks, then I'll start the coding part, which is however the easiest thing for me.
The board has not been tested yet.
| Reference | Quantity | Value | Footprint | Buy |
|---|---|---|---|---|
| C1, C4, C6, C8, C10 | 5 | 100n | 1206 | https://www.digikey.it/product-detail/it/tdk-corporation/CGA5H2X8R2A104K115AD/445-10000-1-ND/3931927 |
| R1, R2, R3, R4, R5, R6, R8, R10, R12, R14 | 10 | 10k | 1206 | https://www.digikey.it/product-detail/it/rohm-semiconductor/LTR18EZPJ103/RHM10KZCT-ND/1973128 |
| C2 | 1 | 10u | 1206 | https://www.digikey.it/product-detail/it/kemet/T520A106M010ATE080/399-4788-1-ND/1001276 |
| R7, R9, R11, R13 | 4 | 1k | 1206 | https://www.digikey.it/product-detail/it/rohm-semiconductor/LTR18EZPJ102/RHM1.0KZCT-ND/1973127 |
| C3, C5, C7, C9 | 4 | 1n | 1206 | https://www.digikey.it/product-detail/it/panasonic-electronic-components/ECW-U1102JX5/PCF1348CT-ND/353833 |
| PWR1 | 1 | 5V | - | https://www.digikey.it/product-detail/it/xp-power/ECE05US05/1470-1108-ND/4487489 |
| U3, U4, U5, U6 | 4 | ACS712 | SOIC8 | https://www.digikey.it/product-detail/it/allegro-microsystems-llc/ACS712ELCTR-20A-T/620-1190-1-ND/1284607 |
| Q1, Q2, Q3, Q4 | 4 | BC817-40 | SOT-23 | https://www.digikey.it/product-detail/it/on-semiconductor/BC849BLT1G/BC849BLT1GOSCT-ND/2623442 |
| D1, D2, D3, D4 | 4 | - | 1206 | https://www.digikey.it/product-detail/it/bourns-inc/CD1206-S01575/CD1206-S01575CT-ND/3741949 |
| U7 | 1 | ESP-12E | - | |
| S2 | 1 | FLASH | - | https://www.digikey.it/product-detail/it/grayhill-inc/95C05B3GWRT/GH7756CT-ND/5802693 |
| J5 | 1 | FTDI | 6x1-2.54mm | https://www.digikey.it/product-detail/it/te-connectivity-amp-connectors/215299-6/A121761-ND/1150051 |
| U1 | 1 | HCF4051B | 16-SOIC | https://www.digikey.it/product-detail/it/stmicroelectronics/HCF4051YM013TR/497-14372-1-ND/4725827 |
| J0 | 5 | - | Terminal_Blocks-3.5mm-2pol | https://www.digikey.it/product-detail/it/on-shore-technology-inc/OSTTE020104/ED2740-ND/2351816 |
| U2 | 1 | LD1117 | SOT223 | https://www.digikey.it/product-detail/it/stmicroelectronics/LD1117S33TR/497-1242-1-ND/586242 |
| RLY1, RLY2, RLY3, RLY4 | 4 | RELAY_G5Q-1A_DC5 | SPST-NO (1 Forma A) | https://www.digikey.it/product-detail/it/omron-electronics-inc-emc-div/G5Q-1A-DC5/Z3811-ND/1815723 |
| S1 | 1 | RESET | Vertical Switch SPST | https://www.digikey.it/product-detail/it/cw-industries/GPTS203212B/CW182-ND/3190592 |
| Name | Size | # Downloads |
|---|---|---|
| powerStrip.kicad_pcb | 318.95 kB | 621 |
| ACS712.sch | 5.31 kB | 630 |
| esp12F.sch | 7.02 kB | 614 |
| powerStrip.sch | 12.6 kB | 679 |
| relays.sch | 5.62 kB | 617 |